非常规油气储层普遍表现出电性双轴各向异性,而三轴感应测井是获取地层电阻率各向异性的关键技术。由于资料反演过程依赖于大量正演模拟,故迫切需要发展一种快速、稳定的适用于层状双轴各向异性地层的三轴感应测井响应正演方法。目前,一维介质中的电磁场通常采用伪解析法求解,其效率主要取决于两个关键方面:谱域散射场的递归推导和双重逆傅里叶变换的实现。然而,主流的全局振幅传播矩阵算法在推导源相关层和无源层的边界条件时过程复杂,有待简化;现有的双重傅里叶逆变换技术(如Gauss-Legendre积分和正弦/余弦滤波积分)分别存在计算速度慢和精度控制弱的缺陷。因此,本文提出了一种基于双虚拟边界方案的改进全局振幅传播矩阵算法和极坐标下线性差值与外推积分(Quadrature-with-extrapolation, QWE)相结合的快速双重傅里叶逆变换技术,使得谱域场推导更简洁、积分速度更快且精度可控,为该类资料的实时、精准处理奠定了坚实基础。

图1 基于双虚拟边界方案的谱域散射场递推方法

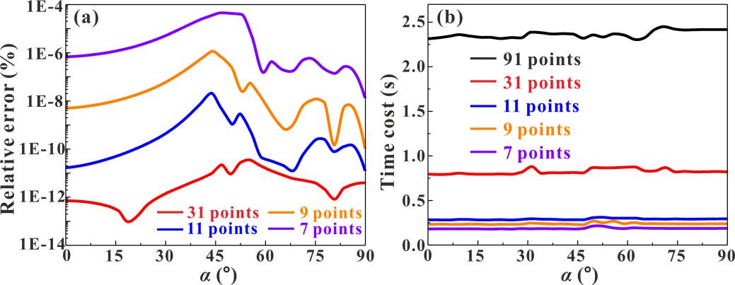
图2 不同数量积分点计算的同轴磁场分量(Hzz)效果对比:(a) 精度对比;(b) 速度对比

图3 外推积分(QWE)与Gauss-Legendre积分计算效果对比:(a) 精度对比;(b) 速度对比
结果表明:本文提出的新方法对层状双轴各向异性地层中三轴感应测井响应计算效率提升具有显著效果。与现有方法相比,新方法通过引入虚拟边界方案改进了全局振幅传播矩阵算法,简化了谱散射场的递归推导过程;同时,创新性地采用基于极坐标的双重逆傅里叶变换技术,利用谱场在极角方向的平滑特性,结合线性插值将定积分点减少至9个,并应用外推加速求积算法高效处理半无限积分,从而将整体计算速度提升了约50倍,平均相对误差控制在0.1%以内。该方法的精度与稳定性在复杂Oklahoma模型中得到了验证,其高效性与稳定性为三轴感应测井资料的快速反演提供了关键技术支撑。

图4 (a)双轴各向异性Oklahoma模型;(b)新方法与传统正演方法计算结果对比;(c)新方法与传统正演方法的误差对比
研究成果近期发表在计算电磁领域重要期刊IEEE Antennas and Wireless Propagation Letters,通讯作者为太阳成集团tyc151cc王磊副教授,第一作者为博士生乔平,合作作者包括太阳成集团tyc151cc邓少贵教授、张英楠,中海油研究总院有限责任公司尹中旭,以及俄罗斯彼尔姆国立研究理工大学(Perm National Research Polytechnic University)的Sergei Vladislavovich Galkin教授。
论文信息:Ping Qiao, Lei Wang, Shao-gui Deng, Zhong-xu Yin, Ying-nan Zhang, Sergei Vladislavovich Galkin, 2025, Rapid Simulation of Triaxial Induction LoggingResponses in Layered Biaxial Anisotropic Media. IEEE Antennas and Wireless Propagation Letters, 24(8), 2322-2326, doi: 10.1109/LAWP.2025.3562569.