不同于常规油气藏(圈闭),页岩油气呈大面积连续型分布,在储层内部油气与水共存且无明显分异。揭示页岩储层流体的微观赋存规律,确定油气富集 “甜点”,对于页岩油气勘探、开采至关重要。页岩储层流体微观赋存的特点是流体以吸附、游离等多种相态共存于岩石纳米孔隙中,且不同状态流体的赋存特征与可动性差异较大,制约页岩油气的高效开采。近年来,研究团队在“页岩储层流体微观赋存与可动性定量表征”方面取得进展,相关成果发表在Marine and Petroleum Geology、Fuel、Advances in Geo-Energy Research、Energy & Fuels等石油地质、能源燃料国际重要期刊。论文第一作者均为太阳成集团tyc151cc李俊乾副教授,合作者包括太阳成集团tyc151cc卢双舫教授、王民教授、薛海涛教授、赵建华副教授等,以及中国石油大学(北京)蔡建超教授。
进展一:建立了不同相态页岩储层流体含量及微观分布评价理论与方法
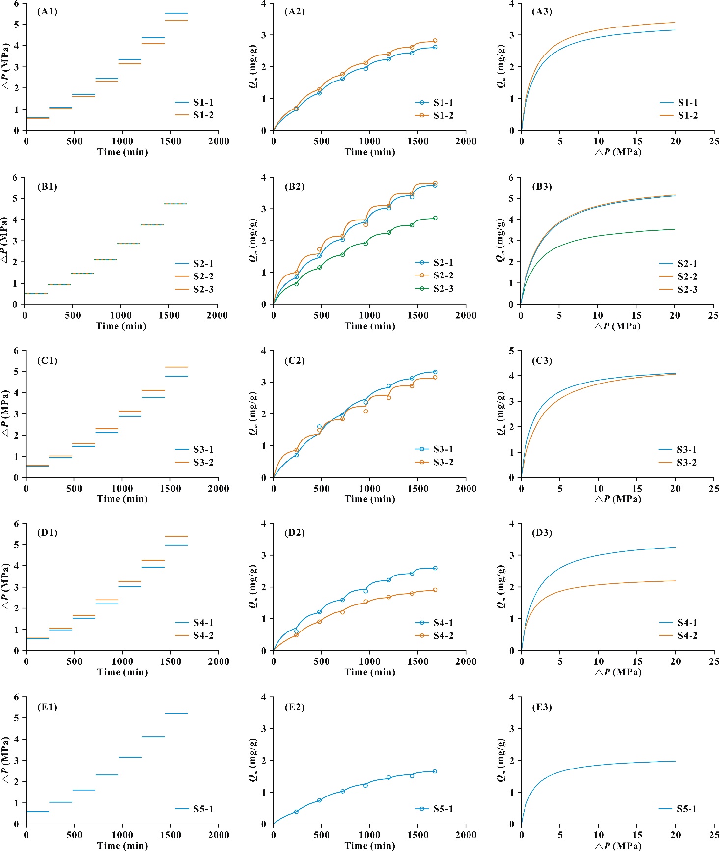
(1)理论推导出了描述页岩孔隙中流体(油/水)排出过程的数学表达式,建立了非平衡/平衡条件下孔隙流体可动量评价模型,据此可评价页岩孔隙中流体的吸附量与游离量。(2)提出了描述页岩纳米孔隙中流体赋存的“吸附比例方程”和“液体状态方程”理论模型,将流体赋存特征(吸附量、游离量、吸附相密度/厚度、游离相密度)和介质孔喉微观结构(孔隙大小及形状、孔体积、比表面积)等9个参数有机地耦合起来。两个理论模型融合经典的核磁共振理论,建立了基于一维核磁共振(T2)的不同相态页岩储层流体微观分布定量评价方法,解决了一维核磁评价吸附/游离流体微观分布的难题,进而揭示了页岩孔隙中油/水微观分布规律。
目前,“吸附比例方程”作为一条科技术语收录于百度百科,得到了推广普及。

图1. 页岩孔隙中吸附/游离流体含量及微观分布评价流程

图2. 页岩孔隙水非平衡(A2、B2)与平衡(A3、B3)排出过程
进展二:建立了页岩纳米孔隙中甲烷量子化物理吸附理论及原位含气性评价方法
(1)首次创建了页岩纳米孔隙中甲烷量子化物理吸附理论,提出在纳米孔隙中甲烷物理吸附表现出一种量子效应,气-固相互作用势能不再是连续性分布,而是一种不连续的量子化分布,能级发生分立,能级跃迁触发了甲烷吸附;纳米孔隙中甲烷分子不均匀空间分布和基态空间大小控制了甲烷的物理吸附行为。在此基础上,开发了甲烷量子物理吸附模型(Quantum Physisorption Model),模型具有广泛的适用性。(2)通过将钻井取心及现场解析全过程拆分为五个独立的阶段并进行数学描述,建立了页岩原位含气性评价新方法--过程分析法,具有较高的分析精度,为深层页岩/煤岩原位含气性(含气量及吸附气/游离气比例)评价提供了新思路。

图3. 页岩纳米孔隙中甲烷量子物理吸附模式
论文信息1:Junqian Li, Xiaodong Yang, Min Wang, Jianhua Zhao. Quantum physisorption behavior of methane in nanoporous shales: Model and new mechanism. Marine and Petroleum Geology, 2024, 170: 107129. https://doi.org/10.1016/j.marpetgeo.2024.107129
论文信息2:Junqian Li, Yashuo Wang, Zhaojing Song, Min Wang, Jianhua Zhao. Mobility of connate pore water in gas shales: A quantitative evaluation on the Longmaxi shales in the southern Sichuan basin, China. Marine and Petroleum Geology, 2024, 161: 106674. https://doi.org/10.1016/j.marpetgeo.2023.106674
论文信息3:Junqian Li, Jianchao Cai. Quantitative characterization of fluid occurrence in shale reservoirs. Advances in Geo-Energy Research, 2023, 9(3): 146-151.https://doi.org/10.46690/ager.2023.09.02
论文信息4:Junqian Li, Zhiyan Zhou, Min Wang, Yashuo Wang, Zhaojing Song. Storage capacity and microdistribution of pore Water in gas-producing shales: A collaborative evaluation by centrifugation and nuclear magnetic resonance. Energy & Fuels, 2023, 37(17): 12980-12993. https://doi.org/10.1021/acs.energyfuels.3c01977
论文信息5:Junqian Li, Shuangfang Lu, Pengfei Zhang, Jianchao Cai, Wenbiao Li, Siyuan Wang, Wenjun Feng. Estimation of gas-in-place content in coal and shale reservoirs: A process analysis method and its preliminary application. Fuel, 2020, 259: 116266. https://doi.org/10.1016/j.fuel.2019.116266
论文信息6:Junqian Li, Siyuan Wang, Shuangfang Lu*, Pengfei Zhang, Jianchao Cai, Jianhua Zhao, Wenbiao Li. Microdistribution and mobility of water in gas shale: A theoretical and experimental study. Marine and Petroleum Geology, 2019, 102: 496-507. https://doi.org/10.1016/j.marpetgeo.2019.01.012