地热能是减少碳排放的重要解决方案之一。近年来,增强型地热系统(EGS)作为一种经济开发模式,广泛应用于通过压裂技术创建人工流体循环系统(例如水或二氧化碳),以从地下储层中回收地热能,从而增强干热岩的孔隙度和渗透性。在典型的EGS中,温度通常超过200 ℃,水被用作传热流体。注入冷水与宿主地层之间的显著温差常常会因冷冲击效应而诱发裂缝。这些裂缝可能有助于改善岩石的渗透性,从而增强热交换效率。花岗岩是地热储层的典型岩石,其微观结构会因EGS的冷水注入或实验测量中的加热-冷却循环而发生改变。图1a显示,在500 ℃以下,各种花岗岩(用不同颜色的点表示)的特定值随温度呈指数增长。然而,超过500 ℃时,由于石英的相变以及裂缝密度的进一步增加,数据点的分布变得更加分散。

图1.花岗岩的热效应:(a)温度依赖的裂缝孔隙率;(b)热循环过程中的基质孔隙率;(c)温度依赖的基质孔隙率。
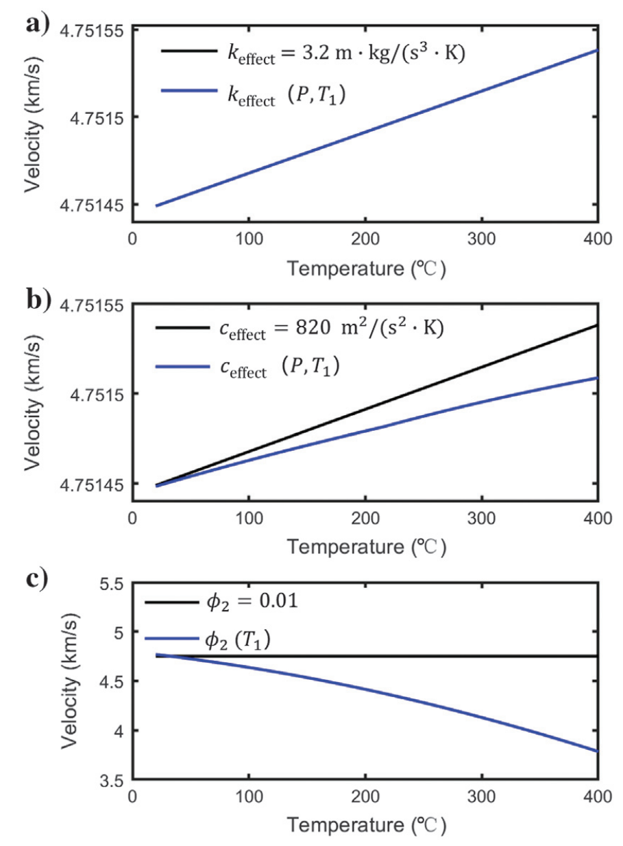
裂隙-孔隙热储层(如坚硬孔、裂缝和断层)是中国开发和利用的典型地热资源。这类热储层的循环回收涉及复杂的热-水-力学(THM)耦合过程。对加热-冷却循环对地震响应的热弹性效应的深入理解,对于在循环回收中进行地震监测具有很大的潜力,但这一领域在文献中仍然缺乏研究。我们旨在通过应用双孔隙热弹性理论,解释在水冷条件下对花岗岩进行的超声波测量,以填补这一空白。我们通过采用双孔隙热弹性(DPT)理论来解决这一问题。该理论预测除了经典的快速P波和S波外,还存在两种Biot慢模式(即Biot慢P1和Biot慢P2)以及热慢P波(即T模式)。我们发现,在低于400 ℃的温度范围内,热导率和比热对地震频率带的影响微乎其微,而裂缝密度在加热-冷却循环中显著影响地震响应,这主要是由于热和冷冲击引发的额外裂缝贡献。进一步研究表明,水冷条件下的P波速度和因热效应导致的衰减是监测热诱导裂纹和增强地热系统运行效率的重要指标。该THM热弹性模型为热储层的循环回收的主动(或被动)地震监测奠定了基础。

图2.不同热-水-力学(THM)特性引起的温度依赖P波速度的比较:(a)热导率;(b)比热;(c)裂缝孔隙率。
研究成果近期发表在地学领域国际重要期刊GEOPHYSICS。论文第一作者和通讯作者分别为太阳成集团tyc151cc符力耘教授团队博士生李念琪和导师符力耘教授。合作者包括太阳成集团tyc151cc邓武兵副教授、杨建以及意大利特里斯特国家海洋学与应用地球物理研究所(OGS)José M. Carcione。
论文信息:Li, N., Fu, L. Y., Deng, W., Carcione, J. M., & Yang, J. (2023). A thermo-hydro-mechanical model to evaluate the seismic properties of geothermal reservoirs. Geophysics, 88(5), WB23-WB35.